来源:青海省教育招生考试
7、我省2025年高考文化课成绩是如何构成的?
普通类、艺术类、体育类考生高考文化课成绩由3门全国统考科目成绩和3门选考科目成绩组成,满分750分。其中,全国统考科目每门满分150分、选考科目每门满分100分。语文、数学、外语3门全国统考科目和考生首选的历史或物理科目以卷面原始分数呈现;考生再选的思想政治、地理、化学、生物学科目以等级赋分分数呈现。
首选历史的考生文化课成绩:语文+数学+外语+历史+考生所选的2门再选科目。
首选物理的考生文化课成绩:语文+数学+外语+物理+考生所选的2门再选科目。
8、我省2025年普通高考民族语文考试成绩怎么使用?
2025年在青招生高校继续编制高校少数民族语言授课专业计划(简称“民考民”计划),继续实行单列计划、单独划线、单独投档。我省在普通高中选修了民族语文地方课程,并参加了学业水平合格性考试,且达到合格标准的考生,可选择填报“民考民”计划,也可以选择填报普通类计划。民族语文科目满分150分。报考“民考民”计划时,语文和民族语文各按50%计入高考总分,投档计分方法为:(语文+民族语文)÷2+数学+外语+首选科目1科+再选科目2科+政策性照顾加分分值。报考普通类计划时,按照“3+1+2”考试成绩投档录取。
9、2025年中国少数民族汉语水平等级考试(MHK)退出普通高考后,我省怎样保障选修民族语文课程考生的升学机会总体稳定?
2025年,MHK退出高考,所有考生须参加语文科目考试。为保障选修了民族语文地方课程,并参加了学业水平合格性考试,且达到合格标准的考生高校升学机会总体稳定,设立专项计划,实现“确保少数民族考生招生计划不减、录取率不降低”的目标任务。
10、我省艺术类考生高考投档成绩是如何构成的?
(1)使用省级统考成绩的高校艺术类专业:
播音与主持类投档成绩=(高考文化课成绩+政策性照顾加分分值)×0.7+(专业成绩÷专业满分300分)×750×0.3,结果四舍五入不保留小数点。
美术与设计类、音乐类、舞蹈类、表(导)演类、书法类投档成绩=(高考文化课成绩+政策性照顾加分分值)×0.5+(专业成绩÷专业满分300分)×750×0.5,结果四舍五入不保留小数点。
(2)使用校考成绩的高校艺术类专业:
将填报相关志愿且高考文化课成绩、省级统考成绩及校考成绩均符合条件的考生信息提供给招生院校,由招生院校按照有关规定录取。
(3)使用戏曲类省际联考成绩的高校艺术类专业:
将填报相关志愿且高考文化课成绩、戏曲类省际联考成绩均符合条件的考生信息提供给招生院校,由招生院校按照有关规定录取。
11、为什么首选科目原始成绩可以计入高考总分?
新高考改革实施后,普通高校招生时对首选科目选择历史或物理的考生分别进行排队。选择历史或物理的考生将使用同一试卷,考生群体相同,成绩具有可比性,因此可使用原始分计入高考总成绩。
12、为什么再选科目需实施等级赋分进行分数转换?
首选科目相同的考生,由于4门再选科目存在着不同学科试题难易不同、考生规模不同、成绩分布不同等情况,使得考生再选科目原始成绩不具有可比性。例如,考生甲和考生乙首选科目均选择了物理,考生甲再选科目选择了思想政治,考生乙再选科目选择了生物学,虽然两人再选科目都考了80分,但考生甲排在所有选考思想政治考生的第1000名,考生乙排在所有选考生物学考生的第100名,此时若简单将两位考生各科原始成绩相加计入高考总成绩并进行比较,既不公平也不科学。因此,需要采用等级赋分将再选科目原始分进行转换后得到转换分数(分数转换后不影响考生再选科目原始分排序),以解决再选科目原始分不具可比性的问题。
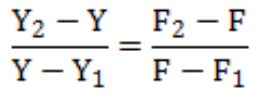
13、考生的等级赋分是怎么计算的?
我省等级赋分转换公式为:

其中,Y表示某考生的原始分数;Y1、Y2分别表示原始分区间的最低分和最高分;F表示该考生的等级赋分分数;F1、F2分别表示赋分区间的最低分和最高分。
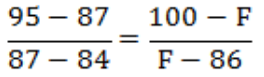
例如,考生某再选科目考试原始分数为87分,划分至A等级。当年该学科A等级原始分区间为95~84分,赋分区间为100~86分,那么该生的等级分为:

解得,F≈89.82。经计算四舍五入取整后,考生该学科的等级赋分分数为90分。



