高中学习资料《一篇收全高中数学解题基本方法》下载,仅供学习参考使用
内容预览:
一、 配方法
配方法是对数学式子进行一种定向变形(配成“完全平方”)的技巧,通过配方找到已知和未知的联系,从而化繁为简。何时配方,需要我们适当预测,并且合理运用“裂项”与“添项”、“配”与“凑”的技巧,从而完成配方。有时也将其称为“凑配法”。
最常见的配方是进行恒等变形,使数学式子出现完全平方。它主要适用于:已知或者未知中含有二次方程、二次不等式、二次函数、二次代数式的讨论与求解,或者缺xy项的二次曲线的平移变换等问题。
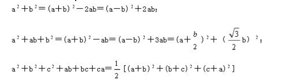
配方法使用的最基本的配方依据是二项完全平方公式(a+b)2=a2+2ab+b2,将这个公式灵活运用,可得到各种基本配方形式,如:




